6.6. Rank assignment

For MPI, to identify process, the number called “Rank” is assigned which is the similar to process number.
The rule of rank assignment, it can be specified from pjsub command’s --mpi option.

6.6.1. Rank-map-bynode

When one process is created on a compute node, rank-map-bynode moves to the next compute node and automatically allocates it in a round-robin fashion. The origin of the coordinates is rank 0, the rank is arranged in the axis direction of the first character of rank-map-bynode, and when the upper limit is reached, the character moves to the next character.

Option

Description

rank-map-bynode[=rankmap]

To rankmap, specify XY|YX|XYZ|XZY|YXZ|YZX|ZXY|ZYX.
To rankmap, specify the same number of dimention specified in shape.
If 1 dimention, cannot specify rankmap.
If 2 dimentions, specify letter XY, 3 dimentions, specify letter XYZ combinations.
rankmap default is as following.
  • If 1 dimention job, one-dimensional coordinates become rank numbers.

  • If 2 dimentions job, it is the same as [XY] in case of dimentional job.

  • If 3 dimentions job, it is the same as [XYZ] in case of dimentional job.

6.6.2. rank-map-bynode (1 dimention)

This indicates 1 dimention specification example.

#!/bin/sh
#PJM -L  "node=8"
#PJM -L  "rscgrp=small"
#PJM -L  "elapse=1:00:00"
#PJM --mpi  "rank-map-bynode"
#PJM -g groupname
#PJM -x PJM_LLIO_GFSCACHE=/vol000N
#
mpiexec ./a.out
../_images/RankAssignment_01.png

6.6.3. rank-map-bynode (2 dimentions)

This indicates 2 dimentions specification example.

#!/bin/sh
#PJM -L  "node=3x3"
#PJM -L  "rscgrp=small"
#PJM -L  "elapse=1:00:00"
#PJM --mpi  "rank-map-bynode=XY"
#PJM -g groupname
#PJM -x PJM_LLIO_GFSCACHE=/vol000N
#
mpiexec ./a.out
../_images/RankAssignment_02.png

6.6.4. rank-map-bynode (3 dimentions)

This indicates 3 dimentions specification example.

#!/bin/sh
#PJM -L  "node=3x3x2"
#PJM -L  "rscgrp=small"
#PJM -L  "elapse=1:00:00"
#PJM --mpi  "rank-map-bynode=XYZ"
#PJM -g groupname
#PJM -x PJM_LLIO_GFSCACHE=/vol000N
#
mpiexec ./a.out
../_images/RankAssignment_03.png

6.6.5. rank-map-bynode (the multiple process specification in node (1 dimention))

This indicates the example of specifying multiple process in node.

#!/bin/sh
#PJM -L  "node=8"
#PJM -L  "rscgrp=small"
#PJM -L  "elapse=1:00:00"
#PJM --mpi  "proc=16"
#PJM --mpi  "rank-map-bynode"
#PJM -g groupname
#PJM -x PJM_LLIO_GFSCACHE=/vol000N
#
mpiexec ./a.out
../_images/RankAssignment_04.png

6.6.6. rank-map-bychip

When an n process is created on a compute node, rank-map-bychip moves to the next compute node and is automatically allocated in a round-robin fashion. The origin of the coordinates is rank 0, the rank is arranged in the axis direction of the first character of rank-map-bychip, and when the upper limit is reached, the character moves to the next character.

Option

Description

rank-map-bynode[=rankmap]

To rankmap, specify XY|YX|XYZ|XZY|YXZ|YZX|ZXY|ZYX.
To rankmap, specify the same number of dimention specified in shape.
If 1 dimention, cannot specify rankmap.
If 2 dimentions, specify letter XY, 3 dimentions, specify letter XYZ combinations.
rankmap default is as following.
  • If 1 dimention job, one-dimensional coordinates become rank numbers.

  • If 2 dimentions job, it is the same as [XY] in case of dimentional job.

  • If 3 dimentions job, it is the same as [XYZ] in case of dimentional job.

This indicates rank-map-bychip specification example.

#!/bin/sh
#PJM -L  "node=3x3"
#PJM -L  "rscgrp=small"
#PJM -L  "elapse=1:00:00"
#PJM --mpi  "proc=18"
#PJM --mpi  "rank-map-bychip:XY"
#PJM -g groupname
#PJM -x PJM_LLIO_GFSCACHE=/vol000N
#
mpiexec ./a.out
../_images/RankAssignment_05.png

6.6.7. rank-map-hostfile

Assign a rank based on the coordinates specified in the rank map file.

This indicates rank-map-hostfile specification example.

#!/bin/sh
#PJM -L  "node=2x2x2"
#PJM -L  "rscgrp=small"
#PJM -L  "elapse=1:00:00"
#PJM --mpi  "rank-map-hostfile=filename"
#PJM -g groupname
#PJM -x PJM_LLIO_GFSCACHE=/vol000N
#
mpiexec ./a.out
  1. Set filename in current directory where executes pjsubcommand.

  2. For rank specification in filename, specify one-, two-, or three-dimensional coordinates according to the node shape.

  3. To filename, write one coordinate per line and specify it in parentheses.

6.6.8. rank-map-hostfile (1 dimention)

To specify one-dimensional coordinates, specify (X).

#!/bin/sh
#PJM -L  "node=8"
#PJM -L  "rscgrp=small"
#PJM -L  "elapse=1:00:00"
#PJM --mpi  "rank-map-hostfile=filename"
#PJM -g groupname
#PJM -x PJM_LLIO_GFSCACHE=/vol000N
#
mpiexec ./a.out

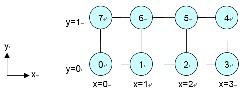
Host map file (1 dimention specification example)

(0)      <-- Rank 0
(1)      <-- Rank 1
(2)      <-- Rank 2
(3)      <-- Rank 3
(7)      <-- Rank 4
(6)      <-- Rank 5
(5)      <-- Rank 6
(4)      <-- Rank 7
../_images/RankAssignment_06.png

6.6.9. rank-map-hostfile (2 dimentions)

To specify two-dimensional coordinates, specify (X,Y).

#!/bin/sh
#PJM -L  "node=4x2"
#PJM -L  "rscgrp=small"
#PJM -L  "elapse=1:00:00"
#PJM --mpi  "rank-map-hostfile=filename"
#PJM -g groupname
#PJM -x PJM_LLIO_GFSCACHE=/vol000N
#
mpiexec ./a.out

Host map file (2 dimentions specification example)

(0,0)      <-- Rank 0
(1,0)      <-- Rank 1
(2,0)      <-- Rank 2
(3,0)      <-- Rank 3
(3,1)      <-- Rank 4
(2,1)      <-- Rank 5
(1,1)      <-- Rank 6
(0,1)      <-- Rank 7
../_images/RankAssignment_07.png

6.6.10. rank-map-hostfile (3 dimentions)

To specify two-dimensional coordinates, specify (X,Y,Z).

#!/bin/sh
#PJM -L  "node=2x2x2"
#PJM -L  "rscgrp=small"
#PJM -L  "elapse=1:00:00"
#PJM --mpi  "rank-map-hostfile=filename"
#PJM -g groupname
#PJM -x PJM_LLIO_GFSCACHE=/vol000N
#
mpiexec ./a.out

Host map file (3 dimentions specification example)

(0,0,0)      <-- Rank 0
(1,0,0)      <-- Rank 1
(0,1,0)      <-- Rank 2
(1,1,0)      <-- Rank 3
(0,0,1)      <-- Rank 4
(0,1,1)      <-- Rank 5
(1,0,1)      <-- Rank 6
(1,1,1)      <-- Rank 7
../_images/RankAssignment_08.png

6.6.11. rank-map-hostfile (the multiple rank specification in node)

At host map file (rank-map-hostfile), the following is an example of assigning multiple processes in a node.

#!/bin/sh
#PJM -L  "node=2x2"
#PJM -L  "rscgrp=small"
#PJM -L  "elapse=1:00:00"
#PJM --mpi  "proc=8"
#PJM --mpi  "rank-map-hostfile=filename"
#PJM --mpi  "rank-map-bynode"
#PJM -g groupname
#PJM -x PJM_LLIO_GFSCACHE=/vol000N
#
mpiexec ./a.out

Host map file (2 dimentions specification example)

(0,0)      <-- Rank 0
(0,0)      <-- Rank 1
(1,0)      <-- Rank 2
(1,0)      <-- Rank 3
(0,1)      <-- Rank 4
(0,1)      <-- Rank 5
(1,1)      <-- Rank 6
(1,1)      <-- Rank 7
../_images/RankAssignment_09.png

6.6.12. rank-map-hostfile/rank-map-bychip (the multiple rank specification in node)

Specifying rank-map-hostfile and rank-map-bychip is available.
At the coordinates (one line) specified in the host map file, assign proc/shape process number (rounded up after the decimal point) based on the number of proc= and shape=specified in a job script. If shape is not specified, alternatively use the number specified by node=.
In next example, it will be proc/node=8/4=2.
#!/bin/sh
#PJM -L  "node=2x2"
#PJM -L  "rscgrp=small"
#PJM -L  "elapse=1:00:00"
#PJM --mpi  "proc=8"
#PJM --mpi  "rank-map-hostfile=filename"
#PJM --mpi  "rank-map-bychip"
#PJM -g groupname
#PJM -x PJM_LLIO_GFSCACHE=/vol000N
#
mpiexec ./a.out

Host map file (2 dimentions specification example)

(0,0)      <-- Rank 0,1
(0,1)      <-- Rank 2,3
(1,1)      <-- Rank 4,5
(1,0)      <-- Rank 6,7
../_images/RankAssignment_10.png

6.6.13. Notes on when using host map file

Here is the notes about host map file.

  • Empty line in the file is ignored.

  • The coordinates described in the file must be within the range specified by the shape parameter that represents the shape of the node.

    • Example) If shape=2x3 is specified, the coordinates that can be described are (0,0), (0,1), (0,2), (1,0), (1,1), (1,2) .

  • If specify rank-map-hostfile and rank-map-bychip parameter at the same time, the description in the file must follow:

    • The number of coordinates described in the file should be the same as the number of nodes indicated by the shape specified by the shape parameter.

    • Example) If it’s shape=3x2since there are six nodes, describe six coordinates in the file.

    • Described coordinates number is fewer than the number of node that indicates the shape specified by the shape parameter, pjsub command rejects job acceptance.

    • Described coordinates number is larger than the number of node that indicates the shape specified by the shape parameter, the rest coordinates are ignored.

    • Multiple same coordinates cannot be described in the file. If you describe the same coordinates, pjsub command will be error.

  • If specify rank-map-hostfile and rank-map-bynode parameter at the same time, the description in the file must follow:

    • Number of coordinates described in the file is fewer than the number of process that specified with shape parameter, after assigning to the last coordinate node, return to the first coordinate node and assign. If the number of coordinates is greater than the number of processes specified by the shape parameter, the remaining coordinates will be ignored.

    • In the file, the same coordinates can be described as long as they are less than the number of CPU cores per computation node.